1. INTRODUCTION
Concrete has been used since Roman times for the
development of infrastructure and housing, but its basic components have
remained the same. Three ingredients make up the dry mix: coarse aggregate,
consisting of larger pieces of material like stones or gravel; fine aggregate,
made up of smaller particles such as sand; and cement, a very fine powder
material that binds the mix together when water is added.
Just a few decades ago concrete was often
misunderstood, disliked and captured by its image fixed due to the rapid
urbanization of the 1960s. But since that time, concrete has made considerable
progress, not only in technical terms, but also in aesthetic terms.
It is no longer the heavy, cold and grey material
of the past; it has become beautiful and lively. By research and innovation,
newly developed concrete has been created which is more resistant, lighter,
white or colored, etc. Concrete has learned to adapt to almost all new
challenges that appeared. In 2001, the concept of transparent concrete was first
put forward by Hungarian architect Aron Losonzi at the Technical University of
Budapest, and the first transparent concrete block was successfully produced by
mixing large amount of glass fiber into concrete in 2003, named as LiTraCon.
The transparent concrete mainly focuses on transparency and its objective of
application pertains to green technology and artistic finish. It is the
“combination of optical fibers and fine concrete”. At present, green structures
focus greatly on saving energy with indoor thermal systems. Therefore it is
imperative to develop a new functional material to satisfy the structure in
terms of safety monitoring (such as damage detection, fire warning),
environmental protection and energy saving and artistic modeling.
Due to globalization and construction of high-rise
building, the space between buildings is reduced; this causes to increasing the
use of non- renewable energy sources, so therefore there is a need of smart
construction technique like green building and indoor thermal system.
Translucent concrete (Transparent concrete) is new
technique different from normal concrete. Translucent concrete allow more light
and less weight compared to normal concrete. The use of sunlight source of
light instead of using electrical energy is main purpose of translucent
concrete, so as to reduce the load on non- renewable sources and result it into
the energy saving. Optical fibers is a sensing or transmission element, so
decrease the use of artificial light, the normal concrete is replaced by
translucent concrete, which has natural lighting and art design.
Table 1. Properties of Transparent Concrete Blocks
By Litracon Company
2. INGRIEDIENTS OF TRANSPARENT CONCRETE
· Cement
Cement is a binder, a substance that sets and
hardens as the cement dries and also reacts with carbon dioxide in the air
dependently, and can bind other materials together. Portland cement is the most
common type of cement in general use around the world, used as a basic ingredient
of concrete, mortar, stucco, and most nonspecialty grout. The OPC was
classified into three grades namely, 33 grade, 43 grade and 53 grade depending
upon the strength of the cement at 28 days when tested as per IS 4031-1988. The
cement used in this experimental works is “Koromandal King 53 Grade Ordinary
Portland Cement”. The specific gravity of cement was 3.14. The initial and
final setting times were found as 51 minutes and 546 minutes respectively.
Standard consistency of cement was 40%.
· Fine aggregate:
Fine aggregate is the inert or chemically inactive
material, most of which passes through a 4.75 mm IS sieve and contains not more
than 5 per cent coarser material. The specific gravity 2.75 and fineness
modulus of 2.80 were used as fine aggregate. The loose and compacted bulk
Density values of sand are1600 and 1688 kg/m3 respectively, the water
absorption of 1.1%.
The fine aggregates serve the purpose of filling
all the open spaces in between the coarse particles. Thus, it reduces the
porosity of the final mass and considerably increases its strength. Usually,
natural river sand is used as a fine aggregate. However, at places, where
natural sand is not available economically, finely crushed stone may be used as
a fine aggregate.
· Coarse aggregate:
Crush granite aggregate available from local
sources has been used. The coarse aggregate with maximum size of 10mm having
the specific gravity value of 2.6 and fineness modulus of 5.60 were used as a
coarse aggregate. The loose and compacted bulk density values of coarse
aggregate are 1437 and 1556 kg/m3 respectively, the water absorption of 0.4%.
· Optical Fibers Elements:
Core - The thin glass
center of the fiber where the light travels is called
core.
Cladding - The outer optical material surrounding the core that reflects the light back into the core. To confine the reflection in the core, the refractive index of the core must be greater than that of the cladding.
Buffer Coating – This is the Plastic coating that protects the fiber from damage and moisture.
Cladding - The outer optical material surrounding the core that reflects the light back into the core. To confine the reflection in the core, the refractive index of the core must be greater than that of the cladding.
Buffer Coating – This is the Plastic coating that protects the fiber from damage and moisture.
Fig 2.1 Elements of a optical fibre
· Water: Water should be free from acids, oils, alkalies vegetables or other organic impurities. Soft waters also produce weaker concrete. Water has two functions in a concrete mix. Firstly, it reacts chemically with the cement to form the cement paste in which the inert aggregates are held in suspension until the cement paste has hardened. Secondly, it serves as a lubricant in the mixture of fine aggregates and cement
3. OPTICAL FIBERS
Optical fiber is a wave guide, made of transparent
dielectric (glass or plastics) in cylindrical form through which light is
transmitted by total internal reflection. It guides light waves to travel over
long distances without much loss of energy. Optical fiber consists of an inner
cylinder made of glass or plastic called core of very high refractive index.
The core is surrounded by a cylindrical shell of glass or plastic of lower
refractive index called cladding. The cladding is covered by a jacket which
protects the fiber from moisture and abrasion.
3.1. Types of Optical Fibers
Based on the refractive index profile and the
number of modes, optical fibers are divided into three types. They are:
Ø Step
index single mode fiber
Ø Step index multimode fiber
Ø Graded index multimode fiber
Ø Step index multimode fiber
Ø Graded index multimode fiber
A step index single mode fiber may have very small
core diameter (i.e. 5- 10µm). Due to its small core diameter, only a single
mode of light ray transmission is possible. About 80% of the fibers that are
manufactured in the world today are of this type.
Fig 3.1 Step index single mode fiber
A step index multimode fiber has a core diameter of
50 to 200µm and an external diameter of cladding 125 to 300µm. Since the core
material is of uniform refractive index and the cladding material of lesser
refractive index than that of core, there is a sudden increase in the value of
refractive index from cladding to core. Since the core has larger diameter,
propagation of many modes within the fiber is allowed.
Fig 3.2 Step index multimode fiber
In a graded index multimode fiber, the refractive
index of the core is maximum at the axis of the fiber and it gradually
decreases towards the cladding. Since there is a gradual decrease in the
refractive index of the core the modal dispersion can be minimized.
Fig 3.3 Graded index multimode fibre
3.2. Total Internal Reflection In A Fiber
The principle behind the transmission of light
waves in an optical fiber is total internal reflection. The total internal
reflection in the walls of the fiber can occur only by the following two
conditions:
i. The glass
around the centre of the fiber (core) should have higher refractive index (n1)
than that of the material (cladding) surrounding the fiber (n2).
ii. The light
should incident at an angle (between the path of the ray and normal to the
fiber wall) greater than the critical angle, θc.
Fig 3.4 Total internal reflection
4. MANUFACTURING OF TRANSPARENT CONCRETE
Preparation of
mould: In the
process of making light transmitting concrete, the first step involved is
preparation of mould. The mould required for the prototype can be made with
different materials which can be of either tin or wood. In the mould
preparation, it is important to fix the basic dimensions of mould. The standard
minimum size of the cube according to IS 456-2000 is 15cmx15cmx15cm for
concrete. In the mould, markings are made exactly according to the size of the
cube so that the perforated plates can be used. Plates made of sheets which are
used in electrical switch boards is used which will be helpful in making
perforations and give a smooth texture to the mould, holes are drilled in to
the plates as shown in Fig. 4.1 The diameter of the holes and number of holes mainly
depends on percentage of fiber used.
Fig. 4.1 Preparation of mould
Procedure of making translucent panel:
Step 1-Preparation of the Mould:
A mould of
rectangular cross section of size 150mm*150mm*150mm is made with wood or steel.
Make the required size of rectangular mould from wood or tin. Place the clay or
mud in the sides where the optical fibers are exposed to the mould for the easy
demoulding after the concreting.
Fig. 4.2 Preparation of panel.
Step 2- Optical Fiber:
The optical
fibers are cut carefully to the required size of mould. The commonly available
diameters of optical fibers are .25 mm, .5 mm, .75 mm, 1 mm, and 2 mm.
Fig.4.3 Optical Fibers
Step 3- Fixing the Fibers:
Fibers are
placed either in organic distribution or in layered distribution. Holes are
driven on the wooden or steel plates through which optical fibers are allowed
to pass through.
Fig. 4.4 Fixing of fibers.
Step 4- Concreting:
The thoroughly
mixed concrete is poured carefully and slowly without causing much disturbances
to the previously laid optical fibers. The concrete is filled in smaller or
thinner layers and is agitated with the help of vibrating tables to avoid the
void formation.
Mix proportion:
In present work
Indian standard method (IS 10262-2009) is used for mix design, mix proportion
are as table 4.1.
Table 4.1 Mix proportion used for testing
Step 5- Removing the Mould:
After 24 hrs,
remove the mould and pull off the mud. The casted mould was kept undisturbed on
the leveled platform. Then it was de-moulded carefully after 24 hours from
casting. Immediately after de-moulding, the cube specimens were marked by their
respective identification mark/numbers (ID).
Step 6- Cutting and polishing:
Cut the
extra-long fibers same as thickness of panel. Polish the panel surface by using
polishing paper or using sand paper as shown in figure 4.5
Fig 4.5 Trimming and polishing of the surface
5. TESTS CONDUCTED ON TRANSPARENT CONCRETE
Several
experiments were conducted on transparent concrete tostudy about its various
properties. They are as follows:
5.1. EVALUATION
METHOD OF LIGHT GUIDING OF SMART TRANSPARENT CONCRETE
The following
are the factors to be considered for the performance of the transparency of the
concrete:
(A)Transmittance
(B)Haze (C)Bi-fringence (D)Refractive index. (E)Dispersion
The transmittance can be directly calculated by the
ratio of the incident energy and transmission energy of light expressed as
following equation:
where ρ, ξ, J1
and J2 are transmittance, correction coefficient of measurement equipment,
transmission energy and incident energy, respectively. While the translucent
concrete studied by us is heterogeneous, its transmittance cannot be obtained
by equation (1), because the number of POFs in unit area is different at
different area, that is, the transmittance in unit is related to the
arrangement of POF in translucent concrete. The POFs can be arranged either in
organic distribution or in layered distribution.
Improvement in
the calculation method for transmittance is as follows.
a) Incident light energy per unit area (ρ0):
a) Incident light energy per unit area (ρ0):
where W0
and A0 are light energy of incident probe and area of incident
probe
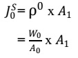
b) Incident
total energy of concrete section at the side of light (JSO ):
.......(3)
where A1 is the
cross-section area of translucent concrete.
c) Transmitted light energy of single POF
(ρ1):
.........(4)
where W1 and n1
are light energy of transmission probe and the number of POFs covered by
transmission probe.
d) Transmitted light energy of translucent concrete
(JS1):
where N is the
total number of POFs in the translucent concrete.
Then based on equation (3) and (5), we can
obtain the transmittance (ρs) of the translucent concrete.
5.2. LIGHT GUIDING EXPERIMENT OF TRASPARENT CONCRETE
In order to
study the light guiding property of translucent concrete, six units of
translucent concrete is fabricated with different POF volume ratios of 1%, 2%,
3%, 4%, 5% and 6%, and the diameters of POF is 1mm. The transmittance is
measured by the Optical Power Meter and its wavelength range is 400-1100nm. The
incandescent lamp with 200W and halogen lamp with 500W are chosen to provide
light. To eliminate the measuring dispersion of transmittance caused by the
discrepancy of POFs’ position and the material, three areas (denoted as 1, 2
and 3) in the middle part of translucent concrete are chosen to test shown as
figure below, and the number of POFs in each chosen area shall be equal. The
number of the POFs is covered by transmission probe or integral sphere are 2
for 1% POF volume ratio, 4 for 2% POF volume ratio, 5 for 3% POF volume ratio,
7 for 4% POF volume ratio, 3 for 5% POF volume ratio and 9 for 6% POF volume
ratio respectively. The incident light energy and transmission light energy are
read simultaneously at each step.
Fig: 5.1 Optical
Power Meter Fig:5.2 Measuring area of the optical fibers
5.3. COMPRESSIVE STRENGTH
By definition,
the compressive strength of a material is that value of uniaxial compressive
stress reached when the material fails completely. The compressive strength is
usually obtained experimentally by means of a compressive test. The compressive
strength of the concrete is determined by cast the cubes of size 150mm x150mm x
150mm.
Compressive
strength = load / area (6)
5.4. FLEXURAL STRENGTH
The flexural
strength of the concrete is determined by conducting the test on prism by two
point loading.
Flexural
strength = PL/bd2 (7)
where, P – Load,
L – Length of the specimen, b - width of the prism, d – depth of the prism
5.5. TEST OF
MECHANICAL PROPERTY OF TRANSLUCENT CONCRETE BY FREEZING TEST
In this test,
the POF volume ratios of translucent concretes chosen for test are 0% (or plain
concrete), 1%, 2%, 3%, 4%, 5% and 6%. After 25 freeze-thaw cycle test, the
mechanical properties of translucent concrete are evaluated by the compressive
strength loss rate (Pf), expressed as follows.
where fc0 and fcn are
compressive strength before and after freeze-thawing test.
Fig 5.1 Methodology of freezing- thaw test
6. RESULTS AND DISCUSSIONS
6.1. LIGHT GUIDING PROPERTY:
(Source:
SOUMYAJIT PAUL, AVIK DUTTA Transparent Concrete International Journal of
Scientific and Research Publications, Volume 3, Issue 10, October 2013 1 ISSN
2250-3153)
Figure 6.1.1(a)
and figure 6.1.1(b) show the light guiding property of translucent concrete
with the POF volume ratio of 1%, 2%, 3%, 4%, 5% and 6% by using the halogen
lamp and incandescent lamp, respectively. It can be seen that the transmittance
of each type of translucent concrete almost keeps stable at whole wavelength,
and the linear relationship between the POF volume ratio and its transmittance
is good.
Fig 6.1.1 (a): Transmittance Fig 6.1.1(b): Relationship
b/w POF volume and Transmittance
For the halogen
lamp, the transmittances of the six ratio translucent concrete are 0.29%、 0.59%、 0.98%、 1.41%、1.83% and 2.36%; for the incandescent lamp, the
corresponding transmittances are 0.41%、 0.82%、 1.22%、 1.72%、 2.15% and 2.59%, respectively. The discrepancy
of transmittance induced by different lamp is that the light scattering’s angle
of the chosen lamp is different, and the POFs absorb much light scattered by
incandescent lamp than that by halogen lamp.
Fig 6.1.2 (a): Transmittance Fig 6.1.2(b): Relationship b/w POF volume and
Transmittance
Furthermore, it
is worthily of note that the large the POF volume ratio is, the large the
transmittance is. In fact, the POF volume ratio and the corresponding
transmittance are just like a sword with both edges. We cannot only pay
attention to the high transmittance, for the POF inevitable affects the
concrete strength. In the following experimental results, it can be seen that
POF will reduce the concrete strength.
6.2. MECHANICAL
PROPERTY OF TRANSLUCENT CONCRETE AT FREEZE-THAW
From figure
6.2.1, it can be seen that the mass of translucent concretes almost are
unchanged in 25times freezing and thawing cycle and the maximum loss rate of
mass is about 0.4%. Figure 6.2.2 shows the compressive strengthen of
translucent concretes with freeze-thaw or not. It can be seen that the
compressive strength of each type of translucent concrete have greatly
decreased after 25times freeze-thaw cycle, and the maximum loss rate of
compressive strength is about 42% comparison with that without bearing the
function of freeze-thaw for the same type of concrete. It can be seen that the
larger the POF volume ratio is, the smaller the compressive strengthen of the
translucent concrete is. So we cannot endless increase the transmittance by way
of increasing the POF volume ratio. One point to be mention, the compressive
strengthen of the plain concrete (or the translucent concrete with 0% POF
volume ratio) is smaller than that of the accustomed plain concrete. The reason
is that we consider the fabrication method of the translucent concrete and
ignore the normal mix proportion of cement mortar at pre-test. To improve the
compressive strength of the translucent concrete, one solution is that the
translucent concrete can be produced by some special high strength concrete,
which can reduce the impact of the POF to the concrete’s compressive strength.
Fig 6.2.1: Loss
rate of concrete mass at each freeze thawing
Fig 6.2.2:
Compressive strength of concrete block with freeze-thaw
6.3. COMPRESIVE STRENGTH
The compressive
strength for concrete cubes with and without Optical fibers has been calculated
for3, 7and 28 days. From the test results, it is observed that compressive
strength for 3, 7 and 28 day with Optical fibers is 8.82 N/mm2,11.45 N/mm2 and
21.10N/mm2 respectively. That for Conventional concrete is 9.56 N/2, 13.02
N/mm2 and 23.24 N/mm2 respectively.
6.4. FLEXURE
STRENGTH
The flexural
strength of the conventional concrete and light transmitting concrete in 7, 14
and 28 days is shown in Fig 6.4.1
Fig 6.4.1 Flexural strength of concrete
7. APPLICATIONS
A. Illuminate Your Walls
Transparent
Concrete can be used as building material for interior and exterior walls. If
sunshine illuminates the wall structure, then eastern or western placement is
recommended; the rays of the rising or setting sun will hit the optical glass
fibers in a lower angle and the intensity of the light will be bigger. Besides
the traditional applications of a wall, the light transmitting concrete can
also be used as wall covering illuminated from the back.
Fig 7.1 Translucent Wall for Architectural View
(Source: www.litracon.hu)
B. Pavement Shine at Sunset
This concrete
can be used as flooring a passable surface illuminated from below. During the
day it looks like typical concrete pavement but at sunset the paving blocks
begin to shine and in different colors.
C. Creative Design
The building
units are versatile and can be used in many areas of design. Two successful
designs using the light transmitting concrete were a jewel and a concrete
bench. You can also create a logo with colorful figures, inscriptions, and
pictures and can used for beautification purpose.
D. Artsy Reception Desk
If you really
want to create a look that stands out, you should opt for this artsy and vogue
reception desk where light up in the front and the sides.
E. A Lighting fixture and Conversational Piece
The transparent
concrete cube is, without a doubt, a great conversation piece. The new cube
line consists of four identical pieces of concrete and, due to its special
geometry; the pieces form a stable structure without fixing them together.
It can be also applicable at:
· Transparent concrete blocks suitable for
floors, pavements and load-bearing walls.
· Facades, interior wall cladding and dividing walls based on thin panels.
· Partitions wall and it can be used where the sunlight does not reach properly.
· In furniture for the decorative and aesthetic purpose.
· Light fixtures.
· Light sidewalks at night.
· Increasing visibility in dark subway stations
· Lighting indoor fire escapes in the event of a power failure.
· Illuminating speed bumps on roadways at night.
· Facades, interior wall cladding and dividing walls based on thin panels.
· Partitions wall and it can be used where the sunlight does not reach properly.
· In furniture for the decorative and aesthetic purpose.
· Light fixtures.
· Light sidewalks at night.
· Increasing visibility in dark subway stations
· Lighting indoor fire escapes in the event of a power failure.
· Illuminating speed bumps on roadways at night.
8. A CASE STUDY ON TRANSPARENT CONCRETE
Transparent
concrete is a pretty rare sight. Not many people have a particular idea about
this nor its applications and advantages. The largest project exhibiting this
technology is an artistic installation, called the "European
Gate"(2004) which was designed to mark the celebration of Hungary joining
the European Union (EU). Located at the public entrance of Fortress Monostor in
the Hungarian town of Komarom, this is one of the most impressive pieces of art
conjugating visual lighting display as well as artistic using translucent
concrete. The sun illuminates the 37.6 ft2 large Litracon piece
of the statue in the mornings and late afternoons, and by night an even more
impressive view can be seen because of the embedded light sources. One of the
first projects to be ever made in a major way is this road during the day the blocks
appear as concrete pavement, but at sunset they start to shine thanks to the
light sources placed under then. A ringed light pattern took shape around the
main square as dark came. More of the uses or applications include partitions
or partition walls in office cabins or in houses, and attractive furniture, and
intelligent light fixtures, lighting in dark subway stations.
The Italian
pavilion at the Shanghai World Expo 2010 also uses the light transmitting
concrete in the building. The transparent blocks of concrete were interspersed
with opaque blocks to create a seamless façade that allows diffused light in at
certain areas and emanates a glow at night.
There aren't
many manufacturers of translucent concrete. There are very few of them, namely
LitraCon, Lucon and Lucem Lichbeton. By using fibers of different diameters,
Litracon™ designers can achieve different illumination effects. An article in
the New York Times suggested that the concrete would be very expensive because
of its optic fiber content, so the uses were very small in size but quite
amazing to the eye. Some examples of the product are the following: On the
performance side, it's simply a concrete embedded with optical fibers running
in a matrix while still retaining the strength of concrete. Therefore it still
retains the high density top layer. It is also frost and de-icing salt
resistant, making it highly recommendable in cold countries. Similarly, it is
under fire protection classification A2 and provides very high UV resistance.
Fig 8.1 Transparent concrete on Italian Pavilion
9. ADVANTAGES
· The main advantage of these products is that
on large scale objects the texture is still visible - while the texture of
finer translucent concrete becomes indistinct at distance.
· When a solid wall is imbued with the ability to transmit light, it means that a home can use fewer lights in their house during daylight hours.
· It has very good architectural properties for giving good aesthetical view to the building.
· Where light is not able to come properly at that place transparent concrete can be used.
· Energy saving can be done by utilization of transparent concrete in building.
· Totally environment friendly because of its light transmitting characteristics, so energy consumption can be reduced.
· When a solid wall is imbued with the ability to transmit light, it means that a home can use fewer lights in their house during daylight hours.
· It has very good architectural properties for giving good aesthetical view to the building.
· Where light is not able to come properly at that place transparent concrete can be used.
· Energy saving can be done by utilization of transparent concrete in building.
· Totally environment friendly because of its light transmitting characteristics, so energy consumption can be reduced.
10. DISADVANTAGES
· The main disadvantage is these concrete is
very costly because of the optical fibers.
· Casting of transparent concrete block is difficult for the labour so special skilled person is required.
· Casting of transparent concrete block is difficult for the labour so special skilled person is required.
11. CONCLUSION
A novel
architectural material called transparent concrete can be developed by adding
optical fiber or large diameter glass fiber in the concrete mixture. The
transparent concrete has good light guiding property and the ratio of optical
fiber volume to concrete is proportional to transmission. The transparent
concrete does not loose the strength parameter when compared to regular
concrete and also it has very vital property for the aesthetical point of view.
It can be used for the best architectural appearance of the building. It can
also be used in areas, where the natural light cannot reach with appropriate
intensity. This new kind of building material can integrate the concept of
green energy saving with the usage selfsensing properties of functional
materials.
12. REFERENCE
1. Soumyajit
Paul And Avik Dutta, Translucent Concrete, International
Journal of Scientific and Research Publications, Volume 3, Issue 10, October 2013 1 ISSN 2250-3153
Journal of Scientific and Research Publications, Volume 3, Issue 10, October 2013 1 ISSN 2250-3153
2. P. M.
Shanmugavadivu, V. Scinduja, T. Sarathivelan, C.V
Shudesamithronn, An Experimental Study On Light Transmitting Concrete, International Journal of Research in Engineering and
Technology eISSN: 2319-1163 | pISSN: 2321-7308
Shudesamithronn, An Experimental Study On Light Transmitting Concrete, International Journal of Research in Engineering and
Technology eISSN: 2319-1163 | pISSN: 2321-7308
3. Zhi
Zhou, Ge Ou, Ying Hang, Genda Chen, Jinping Ou, Research and Development of
Plastic Optical Fiber Based Smart Transparent Concrete, Proc. of SPIE Vol. 7293
72930F-2
4. Andrea
Giovanni Mainini, Tiziana Poli, Michele Zinzi, Stefano
Cangiano, Spectral light transmission measure and radiance model validation of an innovative transparent concrete panel for façades, Elsevier
SciVerse ScienceDirect, Energy Procedia 30 ( 2012 ) 1184 – 1194
Cangiano, Spectral light transmission measure and radiance model validation of an innovative transparent concrete panel for façades, Elsevier
SciVerse ScienceDirect, Energy Procedia 30 ( 2012 ) 1184 – 1194
5. Basma
F. Bashbash, Roaa M. Hajrus, Doaa F. Wafi, Mamoun A.
Alqedra, Basics of Light Transmitting Concrete, Global Advanced
Research Journal of Engineering, Technology and Innovation (ISSN: 2315-5124) Vol. 2(3) pp. 076-083, March, 2013
Alqedra, Basics of Light Transmitting Concrete, Global Advanced
Research Journal of Engineering, Technology and Innovation (ISSN: 2315-5124) Vol. 2(3) pp. 076-083, March, 2013
6. Neha
R. Nagdive & Shekar D. Bhole, To evaluate
properties of translucent concrete / Mortar & their panels, IMPACT:International
Journal of Research in Engineering & Technology (IMPACT: IJRET) ISSN(E): 2321-8843; ISSN(P): 2347-4599 Vol. 1, Issue 7, Dec 2013, 23- 30
Journal of Research in Engineering & Technology (IMPACT: IJRET) ISSN(E): 2321-8843; ISSN(P): 2347-4599 Vol. 1, Issue 7, Dec 2013, 23- 30
7. Juan
She and Zhi Zhou, Some Progress on Smart Transparent
Concrete,
Pacific Science Review, vol. 15, no 1, 2013, pp. 51~55
Pacific Science Review, vol. 15, no 1, 2013, pp. 51~55
8. Dr.
Shakir Ahmed Salih, Dr. Hasan Hamodi Joni, Safaa Adnan
Mohamed, Effect of Plastic Optical Fiber on Some Properties of Translucent Concrete, Eng. &Tech. Journal,Vol.(32),Part(A), No.12,2014
Mohamed, Effect of Plastic Optical Fiber on Some Properties of Translucent Concrete, Eng. &Tech. Journal,Vol.(32),Part(A), No.12,2014
9. Prof.
A.A. Momin, Dr. R.B. Kadiranaikar, Mr.Vakeel. S. Jagirdar,
Mr. Arshad Ahemed Inamdar, Study on Light Transmittance of Concrete Using Optical Fibers and Glass Rods, IOSR Journal of Mechanical and Civil Engineering (IOSR-JMCE) e-ISSN: 2278-1684, pISSN: 2320-334X PP 67-72
Mr. Arshad Ahemed Inamdar, Study on Light Transmittance of Concrete Using Optical Fibers and Glass Rods, IOSR Journal of Mechanical and Civil Engineering (IOSR-JMCE) e-ISSN: 2278-1684, pISSN: 2320-334X PP 67-72
10. Bhavin
K. Kashiyani, Varsha Raina, Jayeshkumar Pitroda, Dr.Bhavnaben K. Shah, A
Study on Transparent Concrete: A Novel Architectural Material to Explore Construction
Sector, International Journal of Engineering and Innovative Technology (IJEIT),
ISSN: 2277- 3754 Volume 2, Issue 8, February 2013
11. Ramansh
Bajpai, Application Of Transparent Concrete In Construction
World, i-manager’s Journal on Civil Engineering, Vol. 4 l No.1 l
December 2013 - February 2014
12. A.
B. Sawant, R. V. Jugdar, S. G. Sawant, Light Transmitting Concrete by
Using Optical Fiber, International Journal of Inventive Engineering
and Sciences (IJIES) ISSN: 2319–9598, Volume-3 Issue-1, December 2014
and Sciences (IJIES) ISSN: 2319–9598, Volume-3 Issue-1, December 2014
13. Er.
Jadhav Sunil, Er. Kadlag Amol, Er. Kawade Chetan, Er. Talekar
Pravin, A Study on Translucent Concrete Product and Its Properties by Using Optical Fibers, International Journal Of Modern Engineering
Research (IJMER) ISSN: 2249–6645 Vol. 5 Iss.4 Apr. 2015
Pravin, A Study on Translucent Concrete Product and Its Properties by Using Optical Fibers, International Journal Of Modern Engineering
Research (IJMER) ISSN: 2249–6645 Vol. 5 Iss.4 Apr. 2015
14. Akshaya B Kamdi, Transparent Concrete As A Green Material For
Building, International Journal Of Structural And Civil Engineering
Research ISSN 2319 – 6009 Vol. 2, No. 3, August 2013
Research ISSN 2319 – 6009 Vol. 2, No. 3, August 2013



























